вентилиция с естественным и механическим побуждением.
Ни одно жилое помещение не может обойтись без налаженного воздухообмена. И чтобы этот самый воздухообмен осуществлялся, используется приточно-вытяжная вентиляция.
Чем герметичнее и энергоэффективнее становятся наши жилища, тем более актуальна тема вентиляции. Как только нормальный воздухообмен нарушается, это сразу даёт о себе знать. Нормой считается 3 куб. м./ч на каждый кв. метр площади помещения. Сегодня мы рассмотрим устройство механической приточно-вытяжной вентиляции, включая вентиляцию с механическим и естественным побуждением.
Посмотрим, что происходит в наших жилищах, после того, как в них установлены герметичные окна и двери. Большинство квартир и частных домов старше 10 лет имеют естественную вентиляцию. В ней приток воздуха осуществляется за счёт неплотной столярки (оконные рамы, дверные притворы). Даже если заклеить все щели стандартного деревянного окна, оно все равно будет пропускать достаточное для нормального воздухообмена количество воздуха.
Движение воздушных потоков в жилом помещении.Новые ПВХ-окна в закрытом положении не пропускают воздух совсем. Вернее они не должны пропускать, но благодаря оплошностям наших монтажников в подавляющей мессе все же пропускают. И, тем не менее, встречаются и качественно установленные окна, которые в закрытом положении полностью или почти полностью герметичны. В итоге приток в квартиру свежего воздуха прекращается, а значит, вентиляция не работает.
Поворот ручки пластикового она в положение «проветривание».Недостаток воздухообмена приводит к загрязнению «атмосферы» жилья и к увеличению влажности. Эти причины имеют ряд неприятных следствий, таких как плохое самочувствие, кислородное голодание, плесень, неприятный запах и др.
Однако далеко не все домовладельцы, и уж тем более просто жильцы, знают, что современные пластиковые окна имеют регулировку притвора, от плотности которого зависит их его герметичность.
По краю оконной створки ПВХ-окна наклеен резиновый уплотнитель. Если он полностью прижат, то между створкой и рамой воздух не проходит. Регулировать плотность притвора можно как при помощи специальных эксценириков, так и ручкой окна. Если не до конца поворачивать ручку, то притвор остается негерметичным.
Специальные эксцентрики позволяют так отрегулировать плотность притвора, что он остается негерметичным даже, когда ручка оконной фурнитуры находится в полностью закрытом положении. На языке профессионалов этот режим называется «микропроветривание».
Регулировка затвора пластикового окна.Итак, мы выяснили, что естественная вентиляция обязательно требует свободного притока воздуха. В противном случае она не работает. Однако известна не только естественная, но и механическая, т.е. осуществляемая принудительно.
Механическая вентиляция
Необходимость в механической вентиляции осознали, прежде всего, жители тех стран, где для поддержания нормальной температуры в помещениях необходимо тратить энергоносители. При неконтролируемом воздухообмене огромная часть термобалласта в виде нагретого или охлажденного воздуха уходит, что называется, в трубу. Естественная вентиляция имеет и ещё один недостаток – при определенных условиях, например в межсезонье и летом, она вообще может отсутствовать, поскольку плотность внутреннего и внешнего воздуха оказываются равны. Это не в лучшую сторону сказывается на микроклимате помещений. Отсутствие вентиляции также недопустимо при работе газовых водонагревательных приборов с открытыми камерами, каминов и печей.
Система вентиляции с механическим побуждением гарантирует необходимый воздухообмен. При этом такая система, как правило, не зависит от герметичности притворов окон и дверей, что позволяет сохранить в доме больше тепла.
Вентиляция с механическим побуждением.Механическая вентиляция устроена следующим образом. Дом оснащается разветвленной системой вентиляционных каналов, а движение воздуха в них обеспечивается за счет работы встроенных вентиляторов. Такая система позволяет регулировать воздухообмен. Однако она является энергозависимой (для работы вентиляторов затрачивается электроэнергия) и соответственно требует определенных затрат.
Приточно-вытяжная вентиляция с механическим побуждением
По сути, принцип принудительной приточно-вытяжной вентиляции отличается от естественной только тем, что воздух нагнетается в помещение вентилятором, встроенным в приточный вентканал. Такие системы раньше устанавливались преимущественно в производственных цехах, концертных залах, крытых стадионах и т.п. Их преимущество в том, что они гарантируют нормальный воздухообмен и позволяют его контролировать.
Современная приточно-вытяжная принудительная вентиляция может быть сколько угодно сложнее вышеописанной, но ключевой принцип остается неизменным. Усложнения касаются только климатических и энергосберегающих аспектов.
При работе механической приточно-вытяжной вентиляции воздух в помещении полностью сменяется минимум 1 раз в час. Но вместе с воздухом из помещений столь же интенсивно уходит тепловой потенциал. Например, зимой мы теряем воздух, нагретый до 20°С, а получаем вместо него холодный наружный воздух с отрицательной температурой. Если вентиляция не будет оснащена блоком подогрева наружного воздуха, то система будет работать как кондиционер в режиме охлаждения.
Для того чтобы подогреть наружный воздух может быть использован электрический или жидкостной блок подогрева. В нем воздух проходит через калорифер или теплообменник, а блок автоматики контролирует нагрев.
Нагреватель.С точки зрения энергосбережения такое решение не самое лучшее. Дело в том, что на нагрев поступающего воздуха уходит столько же энергии, сколько бы потратила система отопления для компенсации теплопотерь через вентиляцию.
Более эффективно минимизировать теплопотери приточно-вытяжной вентиляции способен только рекуператор тепла. Это устройство представляет собой блок, в котором выходящий воздух обменивается теплом с входящим. Рекуператоры тепла могут иметь различную конструкцию, но суть их одна – отбирать тепловой потенциал у исходящего воздуха, и передавать его входящему.
Схема рекуператора.Применение рекуперации позволяет сэкономить до 75% тепла, которое было бы потеряно при его отсутствии. Самые эффективные рекуператоры, позволяющие добиться таких результатов, стоят недешево. Но они рентабельны, особенно при постоянно растущей стоимости энергоносителей для населения.
Важным моментом в устройстве приточно-вытяжной вентиляции является фильтрация наружного воздуха. Если воздух забирать непосредственно с улицы, то при нормальной интенсивности воздухообмена дом площадью 100 кв. м. будет ежесуточно поступать 7200 куб. м воздуха. Это довольно внушительный объём, но под наружный воздух далеко не всегда бывает идеального качества. Он часто требует кондиционирования, т.е. доведения до требуемой кондиции.
Фильтрующие элементы в системе вентиляции.В наружном воздухе могут содержаться химические и органические загрязнения, а также избыточная влага. Конфигурация фильтров подготовки воздуха зависит от конкретных условий. Если дом находится в черте города и тем более рядом с проезжей частью, то в поступающем воздухе будет много пыли и веществ, содержащихся в выхлопе автомобилей. Эти нежелательные примеси можно отфильтровать.
Для очистки воздуха от твердых частиц (пыли) используются тонкие механические фильтры. Они способны задерживать частицы размером до 0,05 мкм. Наиболее эффективными на сегодняшний день считаются HEPA-фильтры. Они состоят из мельчайших синтетических волокон диаметром 0,65-6,5 мкм.
Очистка воздуха от химических загрязнителей осуществляется угольным фильтром. Такие фильтры устанавливаются преимущественно в системах, расположенных в плотной городской застройке или в непосредственной близости к автомагистралям.
Принудительная вентиляция, в отличие от естественной, позволяет подвергать входящий воздух многоступенчатой очистке. Это не может не сказываться и на микроклимате помещения. Входящий воздух можно осушать, увлажнять, обогащать отрицательными ионами, дезинфицировать, ароматизировать.
Элементы приточно-вытяжной вентиляции
Существует два типа приточно-вытяжной вентиляции – замкнутая и разомкнутая. Последняя подразумевает наличие двух механических вентиляций – приточной и вытяжной. Они работают параллельно – приточная подает наружный воздух, а вытяжная – удаляет воздух из помещений. Вентиляция разомкнутого типа проектируется таким образом, чтобы воздух сообщающихся помещений следовал от боле чистого к более загрязненному.
Приточно-вытяжная вентиляция разомкнутого типа.Системы замкнутого типа способны вторично использовать внутренний воздух (рециркуляция). В квартирах и частных домах такие системы практически не встречаются, ибо в рециркуляции нет необходимости.
Приточно-вытяжная вентиляция для дома состоит из системы вентканалов, воздухозаборника, вытяжки, рекуператора (калорифера), осушителя (увлажнителя), фильтров и системы автоматического управления.
Приточно-вытяжная вентиляция своими руками
Оборудовать свой дом принудительной приточно-вытяжной вентиляцией несложно. Однако делать это по наитию не получится. Следует учитывать, что принудительная вентиляция использует вентиляторы, которые могут шуметь, а вентканалы при этом способны разнести шум по всему дому.
При монтаже приточно-вытяжной вентиляции необходимо использовать специальные осевые или центробежные вентиляторы. Они работают тихо, а при установке за пределами помещений вы их не услышите вообще.
Прежде всего, начать следует с проекта вентиляционной системы. Желательно чтобы его создал специалист. Для этого понадобятся специальные знания и соответствующий опыт. Это особенно касается сложных систем с рекуперацией тепла. Ошибки при разработке проекта вентиляции с рекуператором могут стоить намного дороже, чем услуги специалиста.
Самостоятельно можно проектировать лишь самые простые системы приточно-вытяжной вентиляции. При их проектировании руководствуются нормами воздухообмена в жилых помещениях, на которых собственно и строится расчет.
Сечение воздуховодов для системы приточно-вытяжной вентиляции несколько больше, чем естественной. Главный воздуховод имеет самое большое сечение. От него ответвляются меньшие, которые ведут в комнаты. Сечение вентканалов зависит от производительности системы, её конфигурации и используемого вентиляторного оборудования. Данная информация должна указываться в проекте вентиляции.
Забор воздуха необходимо устанавливать не ниже 2,5 м от земли. Место его установки следует выбирать такое, где наименьшая вероятность засасывания загрязненного воздуха.
Воздухозаборник.При этом воздухозабор следует расположить подальше от спальни, чтобы там не был слышен звук вентилятора.
Подача воздуха в помещение располагается на уровне головы, т.е. 1,5-2 м от пола. При этом скорость вхождения воздуха не должна превышать 0,2 м/с.
Вентиляционная решётка на стене.Вытяжки размещаются под потолком или на самом потолке.
Количество поворотов воздуховодных рукавов следует минимизировать. Каждый дополнительный поворот увеличивает сопротивление канала, приводя к снижению скорости и производительности системы. Именно поэтому конфигурация вентканалов должна быть в точности такой же, как в проекте. Отступать от проекта нельзя, ибо любое изменение конфигурации приведет к разбалансировке системы, вследствие чего вентиляция в некоторых помещениях может работать неправильно.
При монтаже системы с рекуперацией необходимо следить за тем, чтобы воздуховоды, ведущие к рекуператору, были хорошо утеплены.
Пуск и регулировка. При первом пуске системы проверяется работа всех притоков и вытяжек. Производятся контрольные замеры скорости воздуха в воздуховодах. Все параметры должны соответствовать проектным. Если есть значительные отклонения, то производится переконфигурация. Незначительные отклонения можно устранить путем регулировки – калибровки сечения воздуховодов. Следует помнить, что при изменении сечения одного канала, изменяются параметры всей системы в целом.
dompodrobno.ru
5 Механическая вентиляция
Вентиляция с механическим побуждением может быть общеобменной и местной. Общеобменная механическая вентиляция может быть бесканальной и канальной. Наиболее распространена канальная вентиляция, она характеризуется тем, что при ней смена воздуха осуществляется принудительно осевыми или центобежными вентиляторами или эжекторными установками, перемещающими воздух по специальным каналам.
Общеобменная приточная механическая вентиляция. Эту систему вентиляции (рисунок 4) часто совмещают с системой центрального отопления. При низких температурах наружного воздуха в совмещенных системах отключение приточной механической вентиляции не допускается из-за возможного выхода из строя приборов отопления. Причиной этого являются большие потери тепла, не компенсируемые приточной вентиляцией. При общеобменной приточной системе вентиляции вне здания устраивают воздухоприемное устройство (шахту) для забора чистого воздуха. Воздухоприемное устройство может быть размещено над землей и над кровлей. Приемные отверстия (проемы) для забора наружного воздуха систем с механическим побуждением следует размещать на высоте не менее 2 м, а при размещении их в зеленой зоне — не менее 1 м от уровня земли до низа проемов. Приемные устройства для наружного воздуха следует размещать в местах, где отсутствуют загрязнения вредными газами и парами, выделяющимися в воздух в процессе эксплуатации или при аварии емкостей и аппаратов, исключена возможность попадания искр или предусмотрена защита от них.
Приемные устройства для приточных вентиляционных систем, систем кондиционирования воздуха и воздушного отопления, предназначенных для обслуживания помещений с производствами категорий А, Б и Е. Допускается проектировать общими в любом сочетании. Приемные устройства систем, обслуживающих помещения с производствами категорий В, Г и Д или вспомогательные помещения предприятий, проектируют отдельно.
Приемные устройства для наружного воздуха, подаваемого в помещения с электрическим оборудованием, смежные с помещениями с производствами категорий А, Б и Е, в которых применяются горючие газы (в том числе сжиженные), следует располагать в местах, где исключено образование взрывоопасных концентраций этих газов в воздухе.[3]
Местная приточная механическая вентиляция. Местная приточная механическая вентиляция (воздушное душирование) в ограниченной зоне создает условия воздушной среды, отличающиеся от тех, которые имеются в цехе. Воздушное душирование с подачей воздуха на места постоянного пребывания работающих следует предусматривать:
а) при тепловом облучении интенсивностью 350 Вт/м2 (300 ккал/м2 • ч) и более — с подачей наружного воздуха для поддержания параметров воздушной среды (температуры и скорости движения воздуха;
б) при открытых производственных процессах, сопровождающихся выделением вредных веществ, и невозможности устройства укрытий или местной вытяжной вентиляции для удаления вредностей — с подачей наружного воздуха для поддержания параметров воздушной среды.
Воздушные души устраивают для уменьшения вредного влияния теплоизлучения оборудования, нарушающего теплообмен организма человека, а также для разбавления загрязнений до допустимой концентрации. Эта система вентиляции нужна, если общеобменная вентиляция не может обеспечить необходимых санитарно-гигиенических условий труда на рабочих местах. Ее устраивают у рабочих мест в горячих цехах (кузнечных, термических, у прессов горячего прессования, литейных, сушильных).
Общеобменная вытяжная механическая вентиляция. Удаление воздуха из помещений системами местной и общеобменной вентиляции следует предусматривать непосредственно от мест выделения вредностей или из зон наибольшего загрязнения воздуха в помещениях с таким расчетом, чтобы потоки наиболее загрязненного воздуха не проходили через зону дыхания людей, находящихся на рабочих местах, или через зоны частого их пребывания. Для удаления вредных, пожаро- и взрывоопасных веществ (газов, паров и пыли), а также тепла и водяных паров от мест их образования и выделения следует проектировать системы местных отсосов (рисунок 5).
Рисунок -5 – Схема механической общеобменной вытяжной вентиляции:
1- станки; 2- стружко-пылеприемник; 3,4 – шиберы; 5- паро- газо-пылеприемник, удаляющий загрязнения из верхней зоны помещения; 6- магитсральные воздуховоды; 7- циклон; 8- вентилятор; 9- вытяжная шахта; 10- бункер
Местная вытяжная механическая вентиляция. Эту вентиляцию устраивают если необходимо предотвратить поступление образующихся при производственных процессах вредных и опасных выделений (газов, паров или пыли) в воздух всего производственного помещения. Выделяемые от технологического оборудования избыточное тепло, пары и пыль при поступлении в рабочую зону в больших количествах могут служить причиной заболеваний, отравлений и поражений организма, причиной пожара и взрыва, а в отдельных случаях — причиной травматизма.
Местную вытяжную вентиляцию предусматривают у станков, прессов, ванн, аппаратов, в различных соединениях трубопроводов и в других местах образования вредных выделений путем устройства различных специальных укрытий, вытяжных камер, кабин, шкафов, зонтов, панелей, бортовых и кольцевых отсосов (рисунок 6).
Местная — локализующая система вентиляции исключает распространение вредностей по помещению. Благодаря ей вредности удаляют у мест их образования путем устройства совершенных укрытий у производственных установок с обязательной компенсацией удаляемого воздуха. Местные отсосы, удаляющие вредные вещества 1-го и 2-го классов опасности от технологического оборудования, следует блокировать с этим оборудованием таким образом, чтобы оно не могло работать при бездействии местной вытяжной вентиляции. Если остановка производственного процесса при выключении местной вытяжной вентиляции невозможна или при остановке оборудования (процесса) продолжается выделение вредных веществ в воздух помещений в количествах, превышающих ПДК, установленные для рабочей зоны, предусматривают установку резервных вентиляторов для местных отсосов с автоматическим переключением.
Общеобменная приточно-вытяжная механическая вентиляция. Эта система характеризуется наличием двух систем вентиляции — приточной и вытяжной (рисунок 7). Общеобменная приточно-вытяжная вентиляция может быть без рециркуляции (разомкнутой) и с рециркуляцией (замкнутой). Разомкнутая система имеет две отдельные системы — приточную и вытяжную, из которых одна система вентиляции подает в помещение чистый воздух, а вторая одновременно удаляет из него загрязненный с предварительной его очисткой и обезвреживанием перед выбросом в атмосферу. Разомкнутые приточно-вытяжные системы вентиляции применяют в помещениях с производствами категорий А, Б, Е и в помещениях, в которых выделяются вредные пары и газы 1-го и 2-го классов опасности.
Приточно-вытяжная система в сообщающихся между собой помещениях должна быть устроена таким образом, чтобы исключалась возможность поступления воздуха из помещений с большим выделением вредностей или с наличием токсических, взрывоопасных газов, паров или пыли в помещения, где этих загрязнений меньше или нет. С этой целью в помещениях, где выделяются вредные пары и газы, приток предусматривают меньшим, чем количества удаляемого воздуха, чтобы вызвать подсос воздуха из помещений, где нет вредных выделений.
Назначение приточных систем вентиляции — возмещать воздух, удаляемый общеобменной вытяжной вентиляцией, местными отсосами и расходуемый на технологические нужды (горение, компрессорные установки, пневмотранспорт).
Приточно-вытяжная система вентиляции с рециркуляцией представляет собой замкнутую приточно-вытяжную вентиляцию, в которой воздух, отсасываемый вытяжной системой, вторично подается в помещение приточной системой вентиляции с частичной подачей свежего воздуха не менее 10—15 % подаваемого объема. Вентиляцию с рециркуляцией устраивают только в помещениях, где отсутствуют вредные, токсические, пожаро- и взрывоопасные загрязнения. Не допускается устраивать вентиляцию с рециркуляцией в помещениях с пожаро- и взрывоопасными производствами категорий А, Б, Е и в помещениях с вредными выделениями паров и газов 1-го и 2-го классов опасности.[9]
Аварийная механическая вентиляция. Аварийная вентиляция устраивается в помещениях (дополнительно к обычной рабочей вентиляции), в которых существует опасность прорыва в помещение большого количества ядовитых пожаро- и взрывоопасных веществ. Аварийная вентиляция должна, как правило, предусматриваться вытяжной.
Системы аварийной вытяжной вентиляции в помещениях с производствами категорий А, Б и Е следует предусматривать с механическим побуждением, вентиляторами во взрывобезопасном исполнении и электродвигателями, соответствующими требованиям «Правил устройства электроустановок». В помещениях с производствами категорий В, Г и Д допускается применять системы аварийной вентиляции с естественным побуждением при условии обеспечения требуемой ее производительности при любых параметрах наружного воздуха.
Если свойства взрывоопасных газов или паров таковы, что перемещение их вентиляторами недопустимо, следует предусматривать системы аварийной вентиляции при помощи эжекторов. Для одноэтажных зданий, имеющих аэрационные фонари, допускается проектировать системы приточной аварийной вентиляции, если при аварии в помещение поступают газы или пары легче воздуха.
Выброс воздуха необходимо проектировать с учетом возможности максимального рассеивания вредных и взрывоопасных веществ в атмосфере. Не следует допускать выброс воздуха в непроветриваемые участки прилегающей территории. Аварийная вентиляция должна быть сблокирована с газоанализаторами, настроенными на допустимую концентрацию вредных веществ. Система аварийной вентиляции должна включаться автоматически при остановке любой из основных систем вентиляции. Кроме того, запуск вентиляторов и открывание проемов для удаления воздуха аварийной вентиляцией следует, как правило, проектировать дистанционными или из доступных мест как изнутри, так и снаружи помещений.[9]
studfiles.net
24.Естественная и механическая вентиляция. Вытяжная и приточная вентиляция, местная вентиляция
Естественнуювентиляциюиспользуют для обеспеченияблагоприятныхусловий труда в помещениях, гдевыделяетсязначительное тепло и не требуетсяспециальнойподготовкивоздухаилиподачиего к определеннымместам. Воздухообменпроисходит за счетразностиплотностейвоздухавнутри и снаружипомещения, чтообусловливаетсяразностьюего температур и вызываетпоступление холодного воздуха в помещение и вытеснениеизнего теплого воздуха (тепловойнапор)..
Естественнаявентиляцияпроизводственныхпомещенийможетбытьнеорганизованной (инфильтрация) и организованной (аэрация).
Естественная вентиляция, зависящая от температуры наружного воздуха и скорости ветра, не всегда может обеспечить нужный воздухообмен. Поэтому там, где необходимо удалить из помещения строго определенное количество воздуха и заменить его таким же по объёму количеством, широко используют механическую вентиляцию.
При механической вентиляции в цех или непосредственно к рабочему месту подают необходимое количество воздуха заранее заданной температуры и влажности, чтобы обеспечить условия для нормального технологического процесса или выполнить требования, предъявляемые санитарными нормами..
В механических системах вентиляции используются оборудование и приборы (вентиляторы, электродвигатели, воздухонагреватели, пылеуловители, автоматика и др.), позволяющие перемещать воздух на значительные расстояния. Затраты электроэнергии на их работу могут быть довольно большими. Такие системы могут подавать и удалять воздух из локальных зон помещения в требуемом количестве, независимо от изменяющихся условий окружающей воздушной среды.
Местной вентиляцией называется такая вентиляция, при которой воздух подают на определенные места (местная приточная вентиляция) и загрязненный воздух удаляют только от мест образования вредных выделений (местная вытяжная вентиляция).
Местная вентиляция требует меньших затрат, чем общеобменная вентиляция. В производственных помещениях при выделении вредных газов, влаги, теплоты и т. д. обычно применяют смешанную систему вентиляции — общую во всем объеме помещения и местную (местные притоки) для подачи свежего воздуха к рабочим местам.
Приточная вентиляция обеспечивает только подачу чистого воздуха в помещение; удаление воздуха из него происходит в основном через неплотности в ограждающих конструкциях и открывающиеся двери, за счёт возникающего избыточного давления.
Вытяжная вентиляция предназначена для удаления воздуха из вентилируемого помещения и создания в нём разрежения, за счёт которого в это помещение через неплотности в ограждениях и двери может поступать воздух снаружи и из соседних помещений
25.Определение требуемого воздухообмена. Основы расчета естественной и механической вентиляции.
Для определения требуемых воздухообменов применяют различные методики, выбор которых зависит от реальних условий труда и характеристики помещений:
Если в помещении выполняются работы не связанные с выделением вредных веществ, то в этом случае воздухообмен определяется по удельному воздухообмену на одного работающего:
,
гдеN – количествоработающих в помещениичеловек,
L1 – удельныйвоздухообмен, м3/час на 1-го человека, которыйпринимается по следующимданным: до 20 человек – >= 30 м3/час на одного человека; от 20 до 40 человек – >= 20 м3/час на одного человека; свыше 40 человек – допускаетсяпроветривание.
Еслиосновнойвредностью в помещенииявляетсяизбыточное тепло (освещение, производительноеоборудование), то расчетпроисходит по формуле:
,
где– разностьинтенсивноститеплопоступлений и интенсивноститеплопотерь,
c – удельнаятеплоемкостьвоздуха,
–плотностьвоздуха,
–разность
температур удаляемого и приточноговоздуха.
Если в помещениивыделяютсявредныевеществаилипыль, то воздухообменможетбытьопределен по формуле:
,
гдеG – интенсивностьпоступлениявредныхвеществ в помещение (определяется по справочникам),
k1 – концентрацияданнойвредности в приточномвоздухе (k1=<0,3 ПДК рабочейзоны),
k2 – концентрацияданнойвредности в удаляемомвоздухе (k2=ПДК).
В некоторыхслучаях для административных, культурно-зрелищныхобъектоввоздухообменопределяется по обменууглекислогогаза:
,
–интенсивностьвыделенияCO2 в помещении
.
Эта величина зависит от возраста людей
и от характеравыполняемойработы.
Например, при тяжелойработевзрослыйчеловеквыделяет,
а при легкой –
,
в состояниипокоя –
.
Для детей, в состояниипокоя –
;
k1 – зависит от видаместности: для сельской – , для поселков и мелкихгородов, для средних и крупных;
k2 – допустимаяконцентрацияCO2,для жилых зданий , для учреждений.
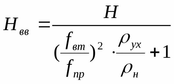
Для расчетовестественноговоздухообмена за счет теплового напораопределяютвысотурасположенияплоскостиравных давлений воздухавнутри и внепомещения — нейтральную зону, относительнокоторойбудутраспределятьсядавлениявовходных и выходныхвентиляционныхустройствахпроизводственногопомещения (форточки, фрамуги, фонари и т. п.),
(1)
или
,
(2)
гдеHвв,
Нвн — расстояние вниз и вверх от нейтральнойзоны,
м; Н — расстояниемежду центрами входных
и выходныхустройств, м; fnp,
fвт—суммарныеплощадиприточных
и вытяжныхотверстий, м2;
— плотностьнаружного и уходящеговоздуха,
кг/м3.
Внутреннееизбыточноедавление
по направлению вверх от
выбраннойгоризонтальнойплоскостиувеличивается
на ivшчинуризб.пр = Hвн(
),
а по направлению вниз уменьшается
на величину Ризб.ух=Нвв(
)
. Здесь
—
средняяплотностьвоздуха в помещении,
зависящая от среднейтемпературыtср.п,
равной
(3)
где
—
температура воздуха в рабочейзоне,
нормируемая ГОСТ 12.1.005 — 76;tух — температура уходящегоизпомещениявоздyxa.
Избыточноедавление в приточных и вытяжныхотверстияхравнодинамическому напору, за счеткотороюнаружныйвоздухпоступает в помещениеилипроисходитвыбросизнегозагрязненноговоздyxa, а именно
Ризб.пр=Нвн(
н
—
ср.п)
= (
н/2
пр).
(4)
Откуда
, (5)
где
пр—скоростьвоздуха
в приточныхустройствах.
Количествовоздуха, котороепоступит за счетестественной тяги, составляет
Lnp=3600
npfnp
,
( 6)
где
пр — коэффициентрасходавоздуха, зависящий
от углараскрытияфорточек (фрамуг)
.
При
= 30°
= 0,56, при
=
45″
= 0,48.
Аналогичноопределяютскорость и количествоуходящегоизпомещенийвоздуха.
Чтобыуменьшитьощущениесквозняка, площадинижнихотверстий (фрамуги, форточки) рекомендуетсяпринимать на 20% большеплощадейверхних (аэрационныефонари). Ветровоедавление на форточки и фрамуги определяют
Рв=±КаРдин.в=
± Ka(
H/2)
,
(7)
где
дин.в — динамическийнапор, создаваемыйветром,
Па;
B—
скоростьветра, м/с;
ка—аэродинамическийкоэффициентздания, зависящий от егоконструкции. Знак
« + » означает, чтопомещениенаходится с наветреннойстороныздания по отношению к господствующемуветру, а знак «-» — с подветреннойстороны.
При расчете механической вентиляции на планах помещений наносят трассу воздуховодов вентиляционной системы, намечают места установки вентиляционного оборудования и составляют расчетную схему
На каждомучасткевентиляционнойсистемыуказываютегодлинуl и расходвоздухаL. Все участкинумеруют. Затемприступают к аэродинамическомурасчетусистемы, которыйсостоит в определениисечениявоздуховодов и потерьдавления на каждомучастке. При расчетахследуетиметьввиду, чтоскоростивоздуха на участкахдолжны плавно уменьшаться по мере отдаления от вентилятора.
Потеридавления в системевоздуховодовопределяют,
где
– потеридавления на участке от трения
о стенкивоздуховода, Па;
–потеридавления
на местныесопротивления на участке,
Па.
Величина потерь на трение,
где
– коэффициентшероховатостивоздуховода;
l, d – длина и диаметрвоздуховода, м;
—
плотностьвоздуха,
;
–скоростьвоздуха, м/с.
Для упрощениярасчетоввводятудельныепотеридавл. на 1м трубопровода – Rуд.
Диаметрвоздуховодавыбираютисходяизколичествавоздуха и егоскорости на участке. Потеридавления на участкедлинойl. .
studfiles.net
Механическая вытяжная вентиляция проектирование и монтаж

Создание комфортных условий для проживания в квартире – это естественное стремление любого человека. Существует несколько инженерных систем, которые выполняют эту важнейшую функцию. Одной из них является вентиляционная система.
Значимость приточно-вытяжной вентиляции для квартиры
Для нормальной жизнедеятельности человеческого организма необходимо определенное соотношение химических элементов в окружающем воздухе. Повышение или понижение показателей одного или нескольких элементов приводит к изменениям в общем самочувствии и работоспособности.
Немаловажным является для нас и присутствие в воздухе пыли и грязи. Учитывая, что человек сам является источником некоторых химических элементов, например углекислого газа, естественным является процесс изменения состава окружающей среды в замкнутых помещениях. На это также влияют такие действия, как обогрев, приготовление пищи.
Таким образом, в квартире необходимо обеспечить возможность поддержания подходящего баланса состава воздуха, проще сказать приблизить его по качеству к свежему, чистому наружному, без ущерба комфортности температуры.
Какие существуют системы приточно-вытяжной вентиляции в квартире?
Действие системы вентиляции основано на простом физическом свойстве, известном всем из школьной программы физики – теплый воздух скапливается внизу, холодный стремится вверх. Таким образом, из-за разности температур происходит вертикальное движение воздушных масс.
Исходя из этого, можно подразделить системы вентиляции на три основных вида:
- Естественная
- Принудительная
- Комбинированная
В отличие от собственного дома, квартира имеет как недостатки, так и преимущества. Одним из очевидных преимуществ является использование инженерных систем жизнедеятельности, оборудованных для всего жилого дома. Однако, это же обстоятельство может играть и отрицательную роль, если при проектировании и строительстве были допущены ошибки.
Как правило, в многоквартирных домах оборудуется естественная система. Она подразумевает оборудование вытяжных систем в местах наиболее подверженных загрязнению – ванные комнаты, туалеты, кухни. Поступление свежего воздуха осуществляется через щели в окнах и дверях.
Таким же методом происходит и движение воздуха внутри квартиры. Однако, установка герметичных входных дверей и окон отрицательно влияет на объем необходимого внешнего воздуха.
Для решения этой проблемы существует несколько способов:
- Установка приточных клапанов. Они могут быть стеновыми и оконными, имеют простейшие фильтры для защиты от пыли и грязи, механические регулировки.
- Оборудование механических проветривателей. Такие устройства более сложные по конструкции и соответственно функциональнее. Они имеют несколько фильтров, множество регулировок, в том числе и в дистанционном режиме, функцию подогрева воздуха.
- Установка бризера – прибора, который дополнительно к функциям механического проветривателя может осуществлять микробиологическую очистку воздуха.
Если с поступлением свежего воздуха помогают справиться вышеназванные устройства, то с его выводом за пределы квартиры могут возникнуть трудности, особенно в теплое время года, когда разница температур снаружи и внутри помещения не так очевидна.
В этих случаях оборудуют устройства принудительной вытяжки. Они могут работать постоянно или включаться на период, например приготовления пищи.
Практически все приведенные системы имеют один существенный недостаток – свежий воздух поступает с той температурой окружающей среды. Это может быть причиной не только сквозняков, но и повышенного расхода тепловой энергии, затрачиваемой на обогрев жилища.
Приточно-вытяжная вентиляция для квартиры с рекуперацией
Устранить этот недостаток помогут специальные устройства – рекуператоры. Они обладают не только высокоэффективными системами очистки, но и благодаря своему устройству подогревают забираемый снаружи воздух до комфортной температуры. Подогрев осуществляется за счет отбора тепла у выводимого из квартиры воздуха.
Такие системы требуют прокладки воздуховодов, поэтому несколько громоздки и скрадывают свободное пространство квартиры. Однако, если квартиры находится в крупном мегаполисе, и высота потолков большая, установка системы вентиляции с рекуперацией полностью решит все проблемы с чистотой воздуха в квартире и его приемлемой температурой. Во многих странах оборудование вентиляционных систем с рекуперацией стало обязательным требованием при строительстве жилых и офисных зданий.
Проектирование и монтаж приточно-вытяжной вентиляции в квартире
Прежде чем произвести модернизацию уже имеющейся системы необходимо осуществить расчет необходимого количества приточного воздуха.
При проведении расчетов учитывается множество показателей, таких как:
- Объем и планировка помещений, высота потолков
- Количество проживающих, наличие у них дыхательных заболеваний, аллергии
- Климатические условия, среднегодовые и сезонные показатели температуры
- Назначение помещений
- Используемые нагревательные приборы, тип кухонной плиты
Как видно, используется значительное число параметров, и провести такие расчёты самостоятельно без специальной подготовки затруднительно. На помощь могут прийти различные онлайн программы, но при этом всегда существует вероятность использования неверных исходных данных.
После проведения необходимых расчетов можно приступать к проектированию. Этот процесс подразумевает определение вида и возможностей приточных устройств, места их установки. Аналогично производится проектирование вытяжных систем. Немаловажное значение имеет прогнозирование движения воздуху внутри квартиры.
Механическая вытяжная вентиляция где оборудуется
Непосредственно монтаж будет связан с установкой вышеназванных устройств и при необходимости воздуховодов. Современные дизайнерские решения позволяют сделать устройства, обеспечивающие вентиляцию помещений незаметными, либо органично вписать их в общий интерьер.
Система вентиляции в квартире имеет ключевое значение при создании комфортной среды проживания. Она напрямую связана с обеспечением безопасности людей. На первый взгляд ее оборудование не является архисложной задачей, однако при этом необходимо не только иметь советующие навыки, но и обладать специальными знаниями.
Именно поэтому, при выявлении признаков неправильной работы, либо постоянного самочувствия из-за недостаточности свежего воздуха в квартире, лучше обратиться к профессионалам.
vent-vozduh.ru
Приточно-вытяжная вентиляция с механическим побуждением
В современном мире входных дверей с уплотнительными резинками и металлопластиковыми окнами, вопрос вентиляции с каждым годом становится все более актуальным. Ведь дополнительные контуры уплотнения сохраняют в квартирах не только тепло, но и влагу. Избыточная влажность оседает на окнах и стенах, в результате чего одни — потеют, а другие — покрываются плесенью.
Многоквартирные дома в обязательном порядке оснащены естественной вентиляцией. Работает она следующим образом. Свежий воздух попадает в квартиру сквозь щели в окнах и входных дверях, тем самым вытесняя отработанные воздушные массы в воздуховоды. Обычно вентиляционные шахты расположены таким образом, чтобы отверстия для оттока воздуха находились в кухнях и санузлах.
Но при замене деревянных окон и дверей на металлопластиковые нарушается естественный воздухооборот в помещении, и естественная вентиляция перестает работать. В этом случае на помощь приходит приточно-вытяжная вентиляция с механическим побуждением.

Схема механической вентиляции с рекуперацией теплоты
Она работает за счет электрических вытяжек и нагнетательных вентиляторов, принудительным образом создавая воздухооборот в помещении. Но прежде, чем браться за ее монтаж, следует проверить работоспособность вытяжных отверстий. Для этого к вентиляционной решетке нужно поднести зажженную зажигалку или спичку. Если пламя отклонится в сторону решетки, то вытяжка работает нормально. Если пламя осталось неподвижным – воздуховод нуждается в прочистке.
Засор убирают с помощью пылесоса, либо ёршика и троса. Если засор оказался глубже, чем ожидалось, то следует обратиться в компетентные органы, либо к домовладельцу. Монтировать приточно-вытяжную вентиляцию с механическим побуждением бесполезно до тех пор, пока вентиляция не будет прочищена.
Вентиляционная система может быть канальной и безканальной. Последняя – это механические вытяжки в кухне и санузле, плюс система приточных клапанов или нагнетательный вентилятор в форточке. Сюда также относятся моноблоки — устройства, в которых в одном месте собраны все элементы для притока и оттока воздушных масс.
В моноблок могут быть дополнительно включены элементы для обогрева, фильтрации и увлажнения воздуха. В канальной системе, все элементы конструкции соединены между собой с помощью жестких или мягких воздуховодов. В этом случае воздушные массы доставляются в комнаты по трубам.
Чистка вентиляции в квартире
Особенности монтажа
- Составление вентиляционной схемы довольно сложный процесс, от которого будет зависеть работоспособность всей системы. Требуется учесть нормативы СНиП, проверить, чтобы не осталось изолированных помещений, учесть особенности строения и климатической зоны. Для частных домов, потребуется включить в схему и создание воздуховодов для оттока воздуха. Изучите варианты реализации вытяжки в частном доме в этой статье нашего портала.
- Если на этом этапе будут допущены ошибки, то вентиляция начнет работать некорректно. В случае недостаточного воздухооборота проблема повышенной влажности и неприятных запахов в квартире не будет решена. В случае избытка мощности, появятся сквозняки и излишние теплопотери. Поэтому, даже если монтаж вентиляционной системы будет производиться своими силами, этап составления схемы, лучше доверить профессионалам.
- Для безканальной системы, возможно, получится обойтись системой приточных клапанов. Для этого нужно над батареей просверлить сквозное отверстие диаметром 6-7 см под уклоном 5о в сторону улицы. В данное отверстие вставляется труба, прикрытая с улицы решеткой. Внутренний край трубы помещается в короб с шумо- и теплоизоляционным материалом. Именно в этот короб помещается регулируемый клапан. Можно обойтись без лишних отверстий в стенах. В этом случае потребуется вырезать часть уплотнительной резинки на раме и на створке металлопластикового окна и установить клапан на это место.
- Если обычных клапанов недостаточно, потребуется ставить приточный вентилятор. Место под него подбирается согласно предварительно сделанной схеме. Главное следить, чтобы поток воздуха не был направлен в голову (например, в изголовье кровати) и не создавал сквозняки. Это условие распространяется на все приточные устройства и на моноблоки с подогревом, и на рекуператоры.
- Для канальной вентиляционной системы предварительно делается разводка приточных и отточных воздуховодов. Обычно размеры всех элементов стандартизированы и легко собираются в одно целое, как конструктор. Разводка воздушных каналов, вытяжки, нагнетатели и прочие элементы конструкции скрывают за подвесными потолками так, чтобы визуально просматривались только вентиляционные отверстия прикрытые декоративными решетками.
Система приточно-вытяжной вентиляции с механическим побуждением
К плюсам принудительной вытяжки можно отнести:
- работоспособность в любое время года, независимо от погодных условий;
- возможность регулировки температуры воздушного потока и скорости воздухообмена;
- для притока воздуха может быть достаточно всего одного входного отверстия в стене.
Основным недостатком такой системы являются более высокие финансовые затраты на:
- монтаж;
- вытяжку;
- нагнетательный вентилятор;
- электроэнергию;
- регулярную замену фильтров.
Купить приточно-вытяжную вентиляцию с механическим побуждением труда не составит, главное правильно подобрать модель согласно составленной схеме.
Дополнительно в этом видео.
kvarremontnik.ru
Местная приточная вентиляция
Местные приточные системы вентиляции осуществляют подачу свежего воздуха непосредственно на рабочее место или к месту отдыха. В зоне действия системы создаются условия, отличающиеся от условий во всем помещении и удовлетворяющие поставленным требованиям. К местной приточной вентиляции относятся воздушные души т оазисы. Воздушный душ представляет собой местный, направленный на человека, поток воздуха. В зоне действия воздушного душа создаются условия отличные от условий во всем объеме помещения. При помощи воздушного душа могут быть изменены такие параметры как: подвижность человека; температура; влажность; концентрация той или иной вредности. Наиболее часто воздушный душ применяется в горячих цехах, на рабочих местах подверженных тепловому излучению.
К местной приточной вентиляции относятся и воздушные оазисы участки помещений, отгороженные от остального помещения передвижными перегородками высотой 2,0 2,5 метра, в которые нагнетается воздух с пониженной температурой.
Местная вентиляция требует меньших затрат, чем общеобменная.
Общеобменная вытяжная вентиляция
Вытяжная вентиляция используется для удаления из производственного или жилого помещения (цеха, корпуса) загрязненного или нагретого отработанного воздуха. В случае оборудования помещений только вытяжной системой вентиляции организованно производится удаление воздуха из помещений. Приток осуществляется неорганизованно или через неплотности в строительных конструкциях, либо через отверстия специально для этих целей предусмотренные.
Вытяжная вентиляция (рис. 2) состоит из очистительного устройства 1, вентилятора 2, центрального 3 и отсасывающих воздуховодов 4.
В отличие от приточных систем вентиляции, в помещениях, имеющих только вытяжные системы, давление устанавливается ниже атмосферного или ниже, чем в соседних помещениях.
При наличии в помещении только вытяжной системы вентиляции, так же как и в случае приточной вентиляции, происходит перетекание воздуха из зоны повышенного давления в зону пониженного. Таким образом, исключается или затрудняется движение воздуха в обратном направлении. Системами вытяжной вентиляции оборудуются наиболее «грязные» помещения, когда нужно предотвратить или сократить распространение из них воздуха в соседние помещения.

Рис. 2. Схема системы вытяжной вентиляции
Местная вытяжная вентиляция
Местную вытяжную вентиляцию применяют в ситуации, когда места выделения вредностей в помещении локализованы и можно не допустить их распространение по всему помещению. Местная вытяжная вентиляция в производственных помещениях обеспечивает улавливание и отвод вредных выделений: газов, дыма, пыли, взвесей и частично выделяющегося от оборудования тепла. Для удаления вредностей применяют местные отсосы (укрытия в виде шкафов, зонты, бортовые отсосы, укрытия в виде кожухов у станков и др.).
Основные требования, которым они должны удовлетворять:
место образования вредных выделений по возможности должно быть полностью укрыто;
конструкция местного отсоса должна быть такой, чтобы отсос не мешал нормальной работе и не снижал производительности труда;
вредные выделения необходимо удалять от места их образования в направлении их естественного движения (горячие газы и пары надо удалять вверх, холодные тяжелые газы и пыль вниз).
Воздух, удаляемый из помещения при местной вытяжной вентиляции, перед выбросом его в атмосферу должен быть предварительно очищен от пыли. Наиболее сложными вытяжными системами являются такие, в которых предусматривают очень высокую степень очистки воздуха от пыли с установкой последовательно двух или даже трех пылеуловителей (фильтров).
Местные вытяжные системы, как правило, весьма эффективны, так как позволяют удалять вредные вещества непосредственно от места их образования или выделения, не давая им распространиться в помещении. Благодаря значительной концентрации вредных веществ (паров, газов, пыли), обычно удается при небольшом объеме удаляемого воздуха достичь хорошего санитарно-гигиенического эффекта.
studfiles.net
Механическая общеобменная вентиляция
Механическая общеобменная вентиляция может быть приточной, вытяжной и приточно-вытяжной, с рециркуляцией и без рециркуляции. При этой системе вентиляции центробежные (рис. 5, а), осевые вентиляторы (рис. 5,6) или эжекторные установки (рис. 5, в), крышные вентиляторы (рис. 5, г, д) перемещают воздух по воздухопроводам с ответвлениями, имеющими насадки и заслонки для регулирования притока или удаления воздуха.
Вентиляторы применяют в приточных, вытяжных и приточно-вытяжных системах, эжекторные установки — в основном в вытяжных системах вентиляции.
Эжекторные установки используют в производственных помещениях, в которых вьщеляются взрывоопасные пары и газы и где установка вентилятора обычного типа, вызывающего при повреждении частей вентилятора искрение и взрыв, не допускается, например при удалении загрязнений из отделений для зарядки аккумуляторов, из окрасочных кабин при отсутствии гидроочистки.
Приведение в движение воздуха эжекцией заключается в том, что в трубу вставляют одно или несколько сопл, в них под давлением подают воздух из компрессора или вентилятора, пар или воду, которые увлекают за собой загрязненный воздух. КПД эжекторной установки будет зависеть от ее конструктивных особенностей.
Назначение приточных систем вентиляции — возмещать воздух, удаляемый местными отсосами и пневмотранспортом в цехах и отделениях (станочных, отделочных, сборочных, древесностружечных плит и др.) и расходуемый на технологические нужды.
При приточной общеобменной системе вентиляции (рис. 6, а) воздухоприемник для забора чистого воздуха, который подается в помещение вентилятором, устанавливают вне здания. Воздух забирают на высоте от земли не менее 2,5 м. Очищенный и подогретый до необходимой температуры воздух в помещении распределяется по системе каналов — воздуховодов.
Воздух подается в рабочую зону (в пространство от уровня пола до уровня дыхания 1,8…2 м) с возможно малыми скоростями. Нельзя подавать воздух через зоны, в которых он загрязнен.
Вытяжная общеобменная система вентиляции (рис. 6, б) характеризуется тем, что через сеть воздуховодов 13 и 12 загрязненный воздух удаляется вентилятором 11. Чистый воздух в этом случае подсасывается естественным путем через неплотности дверей, окон, фонарей, щели, поры строительных конструкций. Вытяжные отверстия воздуховодов располагают на различной высоте, которую устанавливают в зависимости от назначения помещений и плотности удаляемых загрязнений. Например, если удаляют загрязнения, которые тяжелее воздуха (пары фенола, бензина), приемники пара или газа располагают у пола, а если легче воздуха — у потолка. В соответствии с СН 245-71, СНиП П-33-75, ГОСТ 12.4.021—75 и пожарными нормами не разрешается объединять в одну общую вытяжную установку отсосы легкоконденсирующихся паров и газов, а также отсосы веществ, которые при смешении могут создавать ядовитую воспламеняющуюся или взрывоопасную механическую смесь или химические соединения. Например, не допускается совмещать отсосы от пневмотранспортных установок с отсосами от окрасочных и сушильных камер; от окрасочных кабин, когда в одной из кабин применяются нитроцеллюлозные, а в другой полиэфирные лаки. Запыленный или загрязненный ядовитыми парами или газами воздух перед выбрасыванием в атмосферу очищают и обезвреживают в специальных установках.
Приточно-вытяжная система вентиляции без рециркуляции (рис. 6, в) состоит из приточной и вытяжной системы, одновременно подающих чистый воздух и удаляющих загрязненный (предварительно очищенный) в атмосферу. Такая система вентиляции считается наилучшей при условии, когда воздух, удаляемый вытяжными общеобменными и местными системами вентиляции, будет компенсирован приточной системой вентиляции.
Приточно-вытяжная система вентиляции в сообщающихся помещениях должна быть устроена таким образом, чтобы исключалась возможность поступления воздуха из помещений с большим выделением вредностей или с наличием взрывоопасных газов, паров и пыли в помещениях, где этих вредностей меньше или нет.
Вентиляция с рециркуляцией (рис. 6,г) представляет собой замкнутую приточно-вытяжную вентиляцию. Воздух, отсасываемый вытяжной системой, вторично подается в помещение с помощью приточной вентиляции. Рециркулируемый воздух частично пополняется свежим. Не допускается применять рециркуляцию в помещениях с токсическими пожаро- и взрывоопасными загрязнениями воздуха.
Во всех системах вентиляции воздухозаборное устройство устанавливают с учетом розы ветров (с наветренной стороны к выбрасываемым шахтам), но не ближе 10…20 м от выбрасывающих отверстий. Труба, через которую использованный воздух выпускают в атмосферу, должна быть расположена не менее чем на 1 м выше конька крыши.
www.stroitelstvo-new.ru




